Publications
2026
Reactivity and Deblocking Behavior of O- and N-Based Blocking Agents for Isocyanates: A Combined Kinetic and Mechanistic Analysis
Industrial & Engineering Chemistry Research , 65 (9) , 4848–4860 , 2026 , Impact Factor: 3.9 , Q2
2016
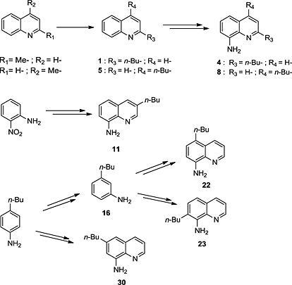
A Systematic Study on the Synthesis of n-Butyl Substituted 8-Aminoquinolines
Journal of Heterocyclic Chemistry , 53 (1) , 263–270 , 2016 , Impact Factor: 0.787 , Q3

