Publications
2021
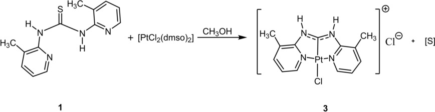
An Acyclic Diaminocarbene Complex of Platinum Formedby Desulfurization of 1,3-Bis(3-methylpyridin-2-yl)thiourea
European Journal of Inorganic Chemistry , 2425-2432 , 2021 , Impact Factor: 2.524 , Q2
2019
Thioureas and their cyclized derivatives: Synthesis, conformational analysis and antimicrobial evaluation
Journal of Molecular Structure , 1179 , 40-56 , 2019 , Impact Factor: 3.196 , Q3
2011
Separation of Metal Binding and Electron Transfer Sites as a Strategy To Stabilize the Ligand-Reduced and Metal-Oxidized Form of [Mo(CO)4L]
Organometallics , 30 (23) , 6441-6445 , 2011 , Impact Factor: 4.145 , Q1
2,3-Bis(1-methylimidazol-2-yl)quinoxaline (bmiq), a new ligand with decoupled electron transfer and metal coordination sites: the very different redox behaviour of isoelectronic complexes with [PtCl2] and [AuCl2]+
Dalton Transactions , 40 (12) , 2757-2763 , 2011 , Impact Factor: 3.806 , Q1



